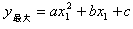
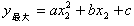
1.如果自變量的取值范圍是全體實數,則當a>0時,拋物線開口向上,有最低點,那么函數在
處取得最小值y最小值=
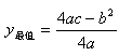
;當a<0時,拋物線開口向下,有最高點,即當
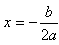
時,函數取得最大值,y最大值=
。 也即是:如果自變量的取值范圍是全體實數,那么函數在頂點處取得最大值(或最小值),即當
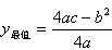
時,
。2.如果自變量的取值范圍是
,那么,首先要看
是否在自變量取值范圍
內,若在此范圍內,則當x=
時,
;若不在此范圍內,則需要考慮函數在
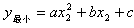
范圍內的增減性,如果在此范圍內,y隨x的增大而增大,則當x=x2 時,
,當x=x1 時
;如果在此范圍內,y隨x的增大而減小,則當x=x1時,
,當x=x2時
。 本文來自:逍遙右腦記憶 http://m.bjhkkj.cn/chuzhong/276517.html
相關閱讀:初三數學學習方法之編織知識網絡



