圓的切線方程:
1、已知圓
,
(1)若已知切點
在圓上,則切線只有一條,其方程是
;
(2)當
圓外時,
表示過兩個切點的切點弦方程。
(3)過圓外一點的切線方程可設為
,再利用相切條件求k,這時必有兩條切線。
(4)斜率為k的切線方程可設為y=kx+b,再利用相切條件求b,必有兩條切線。
2、已知圓
,
(1)過圓上的
點的切線方程為
;
(2)斜率為k的圓的切線方程為
。
圓的切線方程的求法:
①代數法:設出切線方程,利用切線與圓僅有一個交點,將直線方程代入圓的方程,從而△=0,可求解;
②幾何法利用幾何特征:圓心到切線的距離等于圓的半徑,可求解.
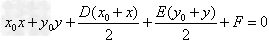
過定點的圓的切線方程:
①過圓上一點的切線方程:
與圓
的切線方程是
與圓
的切線方程是
與圓
的切線方程是
與圓
的切線方程是
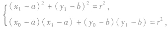
②過圓外一點的切線方程:設
外一點,求過P0點的圓的切線.
方法l:設切點是
,解方程組
求出切點P1的坐標,即可寫出切線方程。方法2:設切線方程是

,再由
求出待定系數k,就可寫出切線方程.特別提醒:一般說來,方法2比較簡便,但應注意,可能遺漏k不存在的切線.因此,當解出的k值唯一時,應觀察圖形,看是否有垂直于x軸的切線.
本文來自:逍遙右腦記憶 http://m.bjhkkj.cn/gaozhong/282837.html
相關閱讀:數學教學要“理論聯系實際”



